Vitamín A Vzorec

Vitamín A Vzorec. Popisovaná zdravotní témata nemohou být náhradou za odborné zdravotní vyšetření. Jeho hlavným zdrojom je plnotučné mlieko (do odstredeného mlieka a margarínu sa umelo pridáva), vajcia a pečeň.

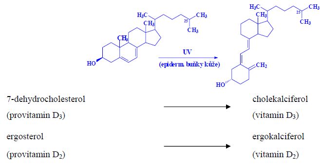
Vite Ktery Vitamin D Prijimat Vitaminy D2 A D3
Vite Ktery Vitamin D Prijimat Vitaminy D2 A D3 from www.testvitaminud.cz
Esenciální kyseliny jsou jiným slovem nezbytné kyseliny, lidský organismus je tedy nemůže syntetizovat. Od roku 1930 jsou zařazovány spíše mezi tuky než mezi vitamíny. Vitamín a je nutný pro tvorbu rodopsinu, zrakového pigmentu používaného za nízkého osvětlení.nedostatek vitamínu proto vede k šerosleposti.vitamín a je také důležitý antioxidant.

Vitamín b1 sa ľahko ničí počas varenia!

C 27 h 44 o. C 20 h 30 o identifikace registrační číslo cas: Pre ľudský organizmus je nenahraditeľný pre krvotvorbu, vývoj a funkciu nervovej sústavy, syntézu ribonukleovej a deoxyribonukleovej. Je cena flexafit dostupná v systéme windows 2021?


0 Response to "Vitamín A Vzorec"

Zverejnenie komentára

Iklan Atas Artikel

Iklan Tengah Artikel 1

Iklan Tengah Artikel 2

Iklan Bawah Artikel