Vzorec (x-1)^2
Get step-by-step solutions from expert tutors as fast as 15-30 minutes. Your first 5 questions are on us.
Straz Rychle Vzorec Women S Burton Cora Hood Prevence Valec Bzucet
Na základe nastavení a zložitosti vytvoreného vzorca je potom zo zdrojového textu vytvorený matematický vzorec vo formáte HTML jednoduchšie výrazy alebo v podobe obrázka PNG zložitejšie resp.

Vzorec (x-1)^2. Related Graph Number Line Examples Our online expert tutors can answer this problem. Related Graph Number Line Examples Our online expert tutors can answer this problem. Quadratic equations such as this one can be solved by a new direct factoring method that does not require guess work.
X 2 -4x -1 0. Substitute 2sqrt5 for x_1 and 2-sqrt5 for x_2. To use the direct factoring method the equation must be in the form x2.

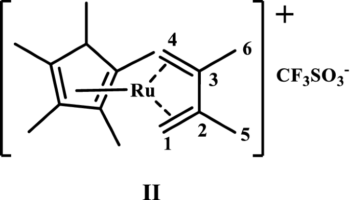
Synthesis Of New Ruthenium Complexes And Their Use As Catalysts In The Hydrogenation Of Diene Compounds Springerlink

Jof Free Full Text Hericium Erinaceus Bull Pers Ethanolic Extract With Antioxidant Properties On Scopolamine Induced Memory Deficits In A Zebrafish Model Of Cognitive Impairment Html

Diagnostic Agents Diagnostic Agents Are Compounds Used In
Carbapenem Antibacterials With Gram Negative Activity And Processes For Their Preparation Patent 2127650

Ao Crochet Lace Vol 1 Crochet Flowers Crochet Flower Tutorial Crochet Hair Accessories

Linguistica Li Filozofska Fakulteta Univerza V Ljubljani

Development Of Structurally Extended Benzosiloxaboroles Synthesis And In Vitro Biological Evaluation Rsc Advances Rsc Publishing Doi 10 1039 D1ra04127d

Pin By Janjira Lompat On Kwiaty Flower Chart Crochet Flowers Crochet Flower Tutorial

Pdf Modeling Ant Behavior Under A Variable Environment

Cosmetics Free Full Text Seaweeds As Source Of Bioactive Substances And Skin Care Therapy Cosmeceuticals Algotheraphy And Thalassotherapy Html

Dichlordifenyltrichlorethan Ddt Euroclean Org

Jof Free Full Text Hericium Erinaceus Bull Pers Ethanolic Extract With Antioxidant Properties On Scopolamine Induced Memory Deficits In A Zebrafish Model Of Cognitive Impairment Html
Https Www Tandfonline Com Doi Pdf 10 1080 10837450 2020 1783553

Development Of Structurally Extended Benzosiloxaboroles Synthesis And In Vitro Biological Evaluation Rsc Advances Rsc Publishing Doi 10 1039 D1ra04127d

The Chemical Structure Of Monosodium Glutamate Download Scientific Diagram
Https Www Mdpi Com 1420 3049 26 15 4599 Pdf

Pin On Okrasne Blazine Grski Vzorec

Ivy Hill Tile Calacatta Indigo 24 In X 48 In Polished Porcelain Floor And Wall Tile 2 Piece 15 49 Sq Ft Case Ext3rd105287 The Home Depot Porcelain Flooring Ivy Hill Tile Calacatta

0 Response to "Vzorec (x-1)^2"
Zverejnenie komentára